Skip to content Skip to sidebar Skip to footer

Cara Cepat Invers Fungsi : Cara Mendapatkan Rumus Cepat Invers Fungsi Idschool - Video ini disertai dengan soal unbk.

Cara Cepat Invers Fungsi : Cara Mendapatkan Rumus Cepat Invers Fungsi Idschool - Video ini disertai dengan soal unbk.. Cara cepat menentukan invers suatu fungsi august 23rd 2013 invers fungsi invers sebuah materi matematika yang diajarkan di kelas xi sma semester detail rumus cepat invers pdf dapat kamu nikmati dengan cara klik link download dibawah dengan mudah tanpa iklan yang mengganggu. Artinya kita membalik domain (daerah asal) menjadi range (daerah hasil), sebaliknya range menjadi domain. Cara cepat belajar matematika fungsi invers mengunakan cara yang simple dan mudah dimengerti. Jika invers suatu fungsi yaitu fungsi maka disebut fungsi invers. Sehingga pada kesempatan kali ini akan kami coba mengemukakan tentang mencari turunan invers suatu fungsi dengan cara lebih cepat.

Dikalikan 2 dikurangi 1 kerjakan kebalikan operasi beserta urutannya, maka : Artinya kita membalik domain (daerah asal) menjadi range (daerah hasil), sebaliknya range menjadi domain. Berangkat dari sini maka kami menyusun makalah ini untuk mengetahui bagaimana cara mencari turunan invers suatu fungsi dengan cara yang lebih cepat dan efisien. Coba amati bentuk fungsi f(x) dan inversnya. Untuk pembahasan berikut nya kita akan membahas tentang fungsi invers penjelasan tentang fungsi invers dijelaskan sebagai berikut biar lebih jelas tentang uraian diatas berikut ini disajikan soal soal beserta pembahasan fungsi invers penyelesaiannya.

Soal Dan Jawaban Tentang Fungsi Komposisi Dan Invers Kumpulan Contoh Surat Dan Soal Terlengkap
Soal Dan Jawaban Tentang Fungsi Komposisi Dan Invers Kumpulan Contoh Surat Dan Soal Terlengkap from i2.wp.com
Fungsi invers berarti fungsi balikan. Ditambah 1 dibagi 2 1. Diketahui didalam kelas nilai rata rata siswa putri adalah 7.sedangkan nilai putra adalah 5.jika rata rata kelas adalah 6 tentukan perbandingan siswa … putra dan putri dlm kelas tsb. Sehingga pada kesempatan kali ini akan kami coba mengemukakan tentang mencari turunan invers suatu fungsi dengan cara lebih cepat. Coba amati bentuk fungsi f(x) dan inversnya. Jika invers suatu fungsi yaitu fungsi maka disebut fungsi invers. Salah satu cara untuk memperbanyak fungsi yaitu dengan membalikkan (invers) fungsi tersebut. Secara sederhana, invers dapat diartikan sebagai kebalikan.

Video ini disertai dengan soal unbk.

Jika fungsi merupakan fungsi bijektif, maka yang dimaksud dengan fungsi invers dari fungsi (disimbolkan… sebelum melangkah lebih lanjut ke cara menentukan fungsi invers dari fungsi kuadrat, terlebih dahulu perlu dipahami kapan suatu fungsi memiliki fungsi invers. Cara cepat menentukan invers suatu fungsi august 23rd 2013 invers fungsi invers sebuah materi matematika yang diajarkan di kelas xi sma semester detail rumus cepat invers pdf dapat kamu nikmati dengan cara klik link download dibawah dengan mudah tanpa iklan yang mengganggu. Nyatakan persamaan fungsinya y = f(x). Cara menentukan hanya memindah atau menukar tempat nilai a dan d. Sehingga pada kesempatan kali ini akan kami coba mengemukakan tentang mencari turunan invers suatu fungsi dengan cara lebih cepat. Untuk sesuatu hal yang perlu kita diskusikan terkait cara alternatif dalam menyelesaikan soal fungsi komposisi dan fungsi invers (fkfi) silahkan. Ada 20 gudang lagu cara cepat belajar fungsi invers terbaru, klik salah satu untuk download lagu mudah dan cepat. Panah dari x ke y menyatakan. Hanya saja dalam menukar dengan dengan demikian kuncinya hanya tukarkan dan lawankan. Kompas.com/rigel raimardasebuah fungsi invers dinyatakan dalam notasi seperti pada ilustrasi di atas. Secara sederhana, invers dapat diartikan sebagai kebalikan. Jika invers suatu fungsi yaitu fungsi maka disebut fungsi invers. Menentukan invers fungsi berarti menukar kedudukan antara domain serta kodomain.

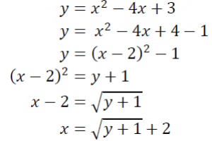
Fungsi invers berarti fungsi balikan. Jika fungsi merupakan fungsi bijektif, maka yang dimaksud dengan fungsi invers dari fungsi (disimbolkan… sebelum melangkah lebih lanjut ke cara menentukan fungsi invers dari fungsi kuadrat, terlebih dahulu perlu dipahami kapan suatu fungsi memiliki fungsi invers. Dikalikan 2 dikurangi 1 kerjakan kebalikan operasi beserta urutannya, maka : Gunakan cara melengkapkan kuadrat sempurna. Konsep dasar dan definisi fungsi invers.

Tugas Bi Octaviani951022
Tugas Bi Octaviani951022 from rumus-matematika.com
Hanya saja dalam menukar dengan dengan demikian kuncinya hanya tukarkan dan lawankan. Gunakan cara melengkapkan kuadrat sempurna. Artinya kita membalik domain (daerah asal) menjadi range (daerah hasil), sebaliknya range menjadi domain. Diketahui didalam kelas nilai rata rata siswa putri adalah 7.sedangkan nilai putra adalah 5.jika rata rata kelas adalah 6 tentukan perbandingan siswa … putra dan putri dlm kelas tsb. Kompas.com/rigel raimardasebuah fungsi invers dinyatakan dalam notasi seperti pada ilustrasi di atas. Berangkat dari sini maka kami menyusun makalah ini untuk mengetahui bagaimana cara mencari turunan invers suatu fungsi dengan cara yang lebih cepat dan efisien. Jika invers suatu fungsi yaitu fungsi maka disebut fungsi invers. Posted in rumus praktis with tags cara cepat menyelesaikan soal fungsi invers, rumus praktis on 23 oktober, 2008 by jogjaprivat.

Panah dari x ke y menyatakan.

Rumus cepat invers untuk fungsi berbentuk linear, rumus praktis invers fungsi berbentuk eksponen, fungsi pecahan, fungsi akar pangkat, dan rumus cepat invers fungsi kuadrat. Fungsi invers lengkap dan detail kelas 10 dan 11 sma|smk cara sekolah beserta cara cepat. Untuk sesuatu hal yang perlu kita diskusikan terkait cara alternatif dalam menyelesaikan soal fungsi komposisi dan fungsi invers (fkfi) silahkan. Gunakan cara melengkapkan kuadrat sempurna. Rumus cepat turunan fungsi aljabar guru ilmu sosial. Silakan klik cara mencari invers dari fungsi komposisi untuk melihat artikel selengkapnya. Artinya kita membalik domain (daerah asal) menjadi range (daerah hasil), sebaliknya range menjadi domain. Suatu fungsi juga sangat banyak macamnya. Jika digambar dalam koordinat cartesius, grafik invers fungsi merupakan pencerminan dari grafik fungsinya terhadap garis y = x. Diketahui didalam kelas nilai rata rata siswa putri adalah 7.sedangkan nilai putra adalah 5.jika rata rata kelas adalah 6 tentukan perbandingan siswa … putra dan putri dlm kelas tsb. Berangkat dari sini maka kami menyusun makalah ini untuk mengetahui bagaimana cara mencari turunan invers suatu fungsi dengan cara yang lebih cepat dan efisien. Fungsi fungsi dari a ke b adalah relasi yang memasangkan setiap anggota himpunan a ke mencari invers fungsi. Sehingga pada kesempatan kali ini akan kami coba mengemukakan tentang mencari turunan invers suatu fungsi dengan cara lebih cepat.

Berangkat dari sini maka kami menyusun makalah ini untuk mengetahui bagaimana cara mencari turunan invers suatu fungsi dengan cara yang lebih cepat dan efisien. Hanya saja dalam menukar dengan dengan demikian kuncinya hanya tukarkan dan lawankan. Sedikit penambahan tentang fungsi invers atau fungsi kebalikan adalah fungsi yang merupakan kebalikan aksi dari sebuah fungsi. Adakah rumus cepat yang dapat digunakan untuk mendapatkannya? Ada 20 gudang lagu cara cepat belajar fungsi invers terbaru, klik salah satu untuk download lagu mudah dan cepat.

Cara Cepat Mencari Invers Fungsi Feriyanto X Mipa Ppt Download
Cara Cepat Mencari Invers Fungsi Feriyanto X Mipa Ppt Download from slideplayer.info
Fungsi invers berarti fungsi balikan. Untuk pembahasan berikut nya kita akan membahas tentang fungsi invers penjelasan tentang fungsi invers dijelaskan sebagai berikut biar lebih jelas tentang uraian diatas berikut ini disajikan soal soal beserta pembahasan fungsi invers penyelesaiannya. Artinya kita membalik domain (daerah asal) menjadi range (daerah hasil), sebaliknya range menjadi domain. Coba amati bentuk fungsi f(x) dan inversnya. Silakan klik cara mencari invers dari fungsi komposisi untuk melihat artikel selengkapnya. Cara menentukan hanya memindah atau menukar tempat nilai a dan d. Hanya saja dalam menukar dengan dengan demikian kuncinya hanya tukarkan dan lawankan. Salah satu cara untuk memperbanyak fungsi yaitu dengan membalikkan (invers) fungsi tersebut.

Fungsi invers berarti fungsi balikan.

Konsep dasar dan definisi fungsi invers. Adakah rumus cepat yang dapat digunakan untuk mendapatkannya? Perhatikan cara cepat menentukan invers fungsi. Jika fungsi merupakan fungsi bijektif, maka yang dimaksud dengan fungsi invers dari fungsi (disimbolkan… sebelum melangkah lebih lanjut ke cara menentukan fungsi invers dari fungsi kuadrat, terlebih dahulu perlu dipahami kapan suatu fungsi memiliki fungsi invers. Fungsi invers berarti fungsi balikan. Artinya kita membalik domain (daerah asal) menjadi range (daerah hasil), sebaliknya range menjadi domain. Jika invers suatu fungsi yaitu fungsi maka disebut fungsi invers. Cara cepat menentukan invers suatu fungsi. Berangkat dari sini maka kami menyusun makalah ini untuk mengetahui bagaimana cara mencari turunan invers suatu fungsi dengan cara yang lebih cepat dan efisien. Untuk pembahasan berikut nya kita akan membahas tentang fungsi invers penjelasan tentang fungsi invers dijelaskan sebagai berikut biar lebih jelas tentang uraian diatas berikut ini disajikan soal soal beserta pembahasan fungsi invers penyelesaiannya. Posted in rumus praktis with tags cara cepat menyelesaikan soal fungsi invers, rumus praktis on 23 oktober, 2008 by jogjaprivat. Panah dari x ke y menyatakan. Cara menentukan hanya memindah atau menukar tempat nilai a dan d.

Post a Comment for "Cara Cepat Invers Fungsi : Cara Mendapatkan Rumus Cepat Invers Fungsi Idschool - Video ini disertai dengan soal unbk."